
“Nearly a hundred thousand million stars are turning in the circle of the Milky Way, and long ago
other races on the worlds of other Suns must have scaled and passed the heights that we have
reached. Think of such civilizations, far back against the fading afterglow of Creation, masters of a Universe so young that life had come to only a handful of worlds. Theirs must have been a loneliness we cannot imagine: the loneliness of gods looking out across Infinity and finding none to share their thoughts.”
Arthur Clarke — The Sentinel (1951)
In his seminal short story “The Sentinel,” legendary British science fiction author Arthur Clarke imagined the existence of ancient extraterrestrial civilisations against the backdrop of cosmic time, which constituted the first forms of intelligent life, early in the history of the Universe. Now, the discovery by an international team of astronomers of yet another ancient planetary system that dates back to the dawn of the Milky Way galaxy comes to give more credence to this concept, by raising the odds for the possible existence of primordial life in the early epochs of cosmic evolution, just a couple billion years after the formation of the Universe.

Exoplanetary research has advanced tremendously, ever since the discovery of the first exoplanet more than 20 years ago. At first, even such a discovery was regarded as a major accomplishment; yet the constant advancement and refinement of the available astronomical instrumentation and of the various detection techniques used have resulted in the discovery of thousands of extrasolar worlds during the last two decades, which have established that planetary formation is a common occurrence in the galaxy. In addition, the vast majority of the exoplanets that have been detected to date are members of multiplanetary systems, with many of them revolving around binary stars—something that was previously considered as an unlikely scenario due to the detrimental effects that the combined gravitational interactions of multiple star systems were thought to have on the long-term stability of planetary orbits. NASA’s Kepler space telescope, in particular, which was launched in March 2009, proved pivotal in revealing the wider diversity and abundance of different types of exoplanets in the galaxy. By utilising the transit method for searching for exoplanets, with which the telescope looks for the characteristic dip in a star’s brightness that indicates the passage, or transit, of an unseen planet across a star’s disk, Kepler has allowed astronomers to detect 1,018 confirmed exoplanets to date, with 4,175 more candidates that still await confirmation, ranging from supermassive hot Jupiters with masses many times that of the gas giants in our Solar System, to sub-terrestrial worlds considerably less massive than Earth.
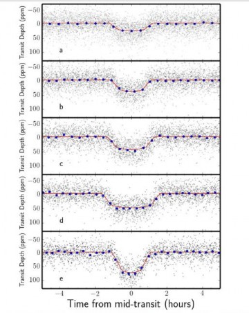
With such a planetary bonanza coming from the Kepler mission during the last few years, it is no surprise that only those discoveries that involve potentially Earth-like, habitable worlds mostly manage to grab the headlines. Seen in this context, the detection of yet another multiplanetary system that doesn’t seem to fit that bill would hardly seem newsworthy. Nevertheless, the recently announced latest such Kepler discovery proves to be equally significant, due to the fact that it concerns the oldest known planetary system that has been found to date, indicating that planetary formation began earlier than originally thought in the history of the Universe. As detailed in a new paper, which was recently published in The Astrophysical Journal, an international team of astronomers led by Dr Tiago Campante, an Asteroseismology Research Fellow at the University of Birmingham’s School of Physics and Astronomy in the UK, studied the transit photometry data for Kepler-444, a neighboring K-type orange dwarf star and member of a triple star system, that is located approximately 117 light-years away toward the constellation Lyra, which the Kepler space telescope had been observing continuously for almost the entire duration of the mission. Careful analysis of the data allowed the researchers to confirm that a series of five photometric light curves which had previously been spotted by the space telescope corresponded to an equal number of planets, named Kepler-444b, c, d, e, and f respectively, which comprised a very compact multi-planetary system with a diameter less than one-tenth of Earth’s orbit around the Sun. More specifically, all of the newly discovered planets around Kepler-444 were found in very tight orbits, within a distance of approximately 0.08 Astronomical Units from their host star, completing a full orbit around it in less than 10 days—considerably closer than Mercury’s 0.39 AU-wide orbit around the Sun in our own Solar System.

Further analysis of the observed transit signals around Kepler-444’s transit revealed that the sizes of these planets were even smaller than that of Earth, firmly placing them in the category of sub-terranean-sized exoplanets. “The precision with which we measured the planetary radii varies between 2.9 and 5.5 percent,” write the researchers in their study. “Kepler-444b is the innermost and smallest planet (within 2 sigma of the size of Mercury). Its radius was measured with a precision of 100 km. All five planets are sub-Earth-sized, with monotonically increasing radii as a function of orbital distance: 0.403, 0.497, 0.530, 0.546, and 0.741 Earh radii [respectively]. Kepler-444c, Kepler-444d, and Kepler-444e have very similar radii, respectively within 2 sigma, 1, and 1 sigma of the size of Mars. Finally, Kepler-444f has a size intermediate to Mars and Venus. Kepler-444 thus expands the population of planets found in low-metallicity environments from the mini-Neptunes around the Galactic halo’s Kapteyn’s star, down to the regime of terrestrial-sized planets. Although photometry alone does not yield the masses of the planets, planetary thermal evolution models predict that the composition of planets with radii less than 0.8 Earth radii, are highly likely rocky.”
The advent of exoplanetary discovery during the last two decades showed that this orbital realm so close around other stars has been mostly dominated by the presence of the so-called “hot Jupiters”—massive gaseous planets similar to the gas giants in our Solar System which, due to their close proximity to their host stars, are scorching hot, with surface temperatures many hundreds or even thousands of degrees Celsius. Yet the planets around Kepler-444 join the growing list of smaller, rocky terrestrial worlds that have been unearthed in recent years in the treasure trove of data that have been collected by the Kepler space telescope. Furthermore, the discovery of planets around stars like Kepler-444 is hardly surprising, given the fact that most of the stellar population in the Milky Way galaxy consists of red and orange dwarf stars, which are much cooler, dimmer, and less massive than the Sun. Kepler-444 itself is a K-type orange dwarf, with 0.75 times the Sun’s size, mass, and luminosity, and a surface temperature in the range of 5,000 K. These stars burn their hydrogen fuel at a much slower rate, allowing them to have a much bigger life cycle than that of the Sun, which in the case of the even smaller and cooler M-type red dwarfs can be in the order of hundreds of billions of years.

Kepler-444b, Kepler-444c, Kepler-444d, Kepler-444e, and Kepler-444f respectively. Image Credit: T. L. Campante et al. (2015), The Astrophysical Journal
What is surprising regarding the newly discovered rocky-type worlds around Kepler-444, however, is the fact that the latter is depleted in chemical elements heavier than hydrogen and helium, indicating that it belongs to the galaxy’s population of older and metal-poor stars, which according to traditional planetary formation models shouldn’t be able to host such planets. More surprisingly, when Campante’s team conducted a detailed astroseismic analysis of the star’s oscillations, they determined that Kepler-444 was a very ancient star. In much the same way that a geologist can measure the propagation of seismic waves through the Earth’s interior and deduce our planet’s structure, astronomers can similarly monitor the periodic pulsations, or “starquakes,” of stars that are caused by the propagation of acoustic waves in their interiors, in order to better understand their internal processes.
By studying these oscillation patterns, which are clearly imprinted in a star’s frequency spectra, astronomers can infer with great accuracy the overall structure of stars and several of their basic properties, like their age, mass, and diameter. Through this process, Campante’s team were able to determine that Kepler-444 had an age of approximately 11.2 billion years, plus or minus a billion years, indicating that it had formed at a time when the Universe was less than 20 percent its present age, similar to Kapteyn’s Star, another nearby ancient red sub-dwarf star that has been also found to host a planetary system consisting of two massive “Super Earth”-type exoplanets.
“This is one of the oldest systems in the galaxy,” says Dr. Kawaler, a professor of Astronomy at the Iowa State University, and member of Campante’s research team. “Kepler-444 came from the first generation of stars. This system tells us that planets were forming around stars nearly 7 billion years before our own Solar System.”
“The correlation between the occurrence of giant planets and the metallicity of host stars is now well established, with metal-rich stars being more likely to harbor gas giants which in turn lends support to the model that giant planets form by concurrent accretion of solids and gas,” writes Campante’s team in their study. “However, this correlation is weakened as one moves toward Neptune-size planets, ultimately vanishing as we enter the regime of Earth-size planets. Based on the spectroscopic metallicities of the host stars of 226 Kepler exoplanet candidates, it has been shown that the metallicity distribution of stars harboring small planets (i.e., with radii less than 4 Earth radii) is rather flat and covers a wide range of metallicities. This could mean that the process of formation of small planets is less constrained than that of the formation of large planets, with rocky planets likely starting to form at an earlier epoch than gas giants.”
From an astrobiology perspective, the newly discovered planets around Kepler-444 are of very little interest, due to the fact that their orbital distances from their host star have probably turned them into infernal, inhospitable worlds with scorching hot surface temperatures. “While this star formed a long time ago, in fact before most of the stars in the Milky Way, we have no indication that any of these planets have now or ever had life on them,” comments Steve Howell, project scientist for the Kepler space telescope at NASA’s Ames Research Center in Moffett Field, Calif. “At their current orbital distances, life as we know it could not exist on these ancient worlds.” Nevertheless, Kepler-444, like Kapteyn’s Star, represents an important step forward in the study of planetary formation and the possibilities for the emergence of life in the primordial Universe. “There are far-reaching implications for this discovery,” adds Campante. “We now know that Earth-sized planets have formed throughout most of the universe’s 13.8-billion-year history, which could provide scope for the existence of ancient life in the galaxy.”

compared to those of other planetary systems that have also been discovered by the Kepler space telescope. Our own Solar System is shown at the top, to better illustrate the compact nature of the Kepler-444 system. Image Credit: T. L. Campante et al. (2015), The Astrophysical Journal
The notion of the existence of extraterrestrial life still remains in the realm of science fiction and theoretical speculation. Modern scientific thinking on the subject covers the full spectrum of possibilities, with hypotheses ranging from the Mediocrity principle to the Rare Earth Hypothesis. Yet, in recent years, astronomers have challenged the latter by calculating that every single star in our Milky Way galaxy is most probably home to at least one planet, with the habitable ones among them possibly numbering in the billions. On the other hand, despite these odds, the lack of any confirmed evidence for the existence of extraterrestrial life and intelligence only deepens the mystery behind the famous Fermi Paradox, leading to the inevitable question: Where are they?
The road to a more definitive answer to this age-old and fundamental question of human existence passes through our continuous, intensive search for even more planets in the vast expanses of the Milky Way galaxy. “The first discoveries of exoplanets around Sun-like stars have fueled efforts to find ever smaller worlds evocative of Earth and other terrestrial planets in the Solar System,” concludes Campante’s team. “From the first rocky exoplanets to the discovery of an Earth-size planet orbiting another star in its habitable zone, we are now getting first glimpses of the variety of Galactic environments conducive to the formation of these small worlds. As a result, the path toward a more complete understanding of early planet formation in the Galaxy starts unfolding before us.”
In this never-ending search, we can only hope that the day when astronomers finally detect an extrasolar world with the long-sought definite signs of habitability or even intelligence will not only remain just the prospect of imaginative science fiction stories, but of our reality as well.
Video Credit: Tiago Campante/Peter Devine
Want to keep up-to-date with all things space? Be sure to “Like” AmericaSpace on Facebook and follow us on Twitter: @AmericaSpace
Fascinating article and yet Kepler barely scratches the surface of discoveries yet to come. What is also interesting is the possible age of a star, almost double that of our sun. What is haunting is the prospect that ancient, intelligent civilizations might have existed during the early life of the universe. We will, of course, find that extrasolar world with the signs of habitabiliy. But that discovery will be the tip of the iceberg. Leonidas, you have given the reader quite a lot to contemplate.
Indeed Tom, in my view, it is only now after more than 20 years of ground-breaking discoveries, that exoplanet research has began to tackle the Big Questions regarding the prevalence of life and intelligence in the Universe, and personally I cannot think of a more important and grandeur search than that.
Having conducted the first statistical analyses about the possible number of exoplanets in the galaxy thanks to the discoveries of the Kepler space telescope, we are now moving towards their more detailed characterisation, while finding ever more terrestrial worlds that date back to the beginning of cosmic time. What else is awaiting to be discovered by the next generation of space telescopes that will be launched in the next few years? I have to confess that this is a thought that often keeps me awake at night contemplating about.
Leonidas: I, too, contemplate the wondrous cosmos and what we will learn. It is mind-boggling and humbling. Thanks for an excellent post!